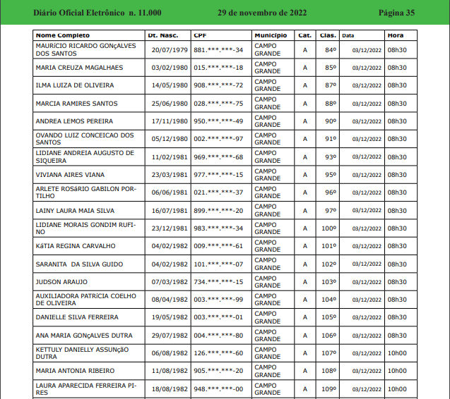
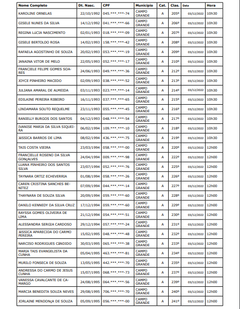
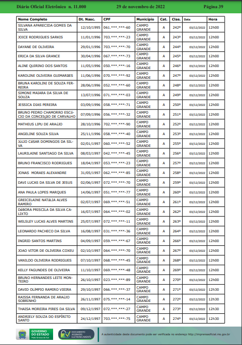
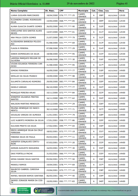
Publicação do Diário Oficial da última terça-feira (29) listou o nome dos 459 selecionados no Programa CNH Social para a 2ª chamada, ou seja, que não compareceram ao Detran-MS (Departamento Estadual de Trânsito) para exame psicológico que dá início ao processo de primeira habilitação. Essa é a última chance para ter o benefício. Convocado deverá procurar o órgão no próximo sábado (3).
Confira a lista completa com todos os selecionados. Nomes também podem ser acessados no documento oficial por meio deste link.





















CNH Social
O programa “CNH MS Social” vai beneficiar cinco mil pessoas de famílias carentes por ano com o pagamento de todos os custos do processo de habilitação, desde os gastos com a autoescola, em relação às aulas práticas e teóricas, até o pagamento das taxas do Detran.
Ao todo, foram 832 aprovados em Campo Grande, 114 em Aquidauana, 70 em Anastácio, 11 em Bodoquena, 15 em Dois Irmãos do Buriti, 28 em Miranda, 204 em Corumbá, 34 em Ladário, 47 em Aparecida do Taboado, 21 em Cassilândia, 15 em Chapadão do Sul, 43 em Costa Rica, 4 em Inocência, 5 em Paraíso das Águas e 73 em Paranaíba.